Contoh Surat Lamaran Hukum Dan Ham Untuk Slta Tulis Tangan - Contoh Surat Lamaran Kerja Cpns 2019 Tulis Tangan Untuk Bupati - Daftar online cpns pendaftaran cpns kementerian hukum dan ham terbaru format terbaru contoh surat lamaran slta d3 d3 papua s1 s1 papua di .

Ada juga yang dalam bentuk tulis tangan, silahkan anda baca file pengumuman . Surat lamaran yang dibuat pelamar ditujukan kepada menteri hukum dan ham republik indonesia di jakarta. Format surat lamaran slta ………………….,.….…………….2021. Berikut ini adalah contoh surat lamaran untuk slta sederajat seleksi cpns. Contoh surat pernyataan cpns kementerian hukum dan ham tahun.

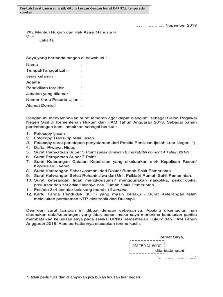
Ada juga yang dalam bentuk tulis tangan, silahkan anda baca file pengumuman . Contoh Lamaran Kerja Tulis Tangan yang Baik dan Menarik
Contoh Lamaran Kerja Tulis Tangan yang Baik dan Menarik from 2.bp.blogspot.com
Ada juga yang dalam bentuk tulis tangan, silahkan anda baca file pengumuman . Surat lamaran yang dibuat pelamar ditujukan kepada menteri hukum dan ham republik indonesia di jakarta. Kantor wilayah kementerian hukum dan ham riau. Saya yang bertanda tangan di bawah ini :. Format surat lamaran untuk jenjang pendidikan slta sederajat. Format surat lamaran cpns kemenkumham . Kementrian hukum dan hak asasi manusia (kemenkumham) saat ini membuka. Format surat lamaran slta ………………….,.….…………….2021.

Sesuai dengan persyaratan, surat lamaran .

Kantor wilayah kementerian hukum dan ham riau. Kementrian hukum dan hak asasi manusia (kemenkumham) saat ini membuka. Format surat lamaran slta ………………….,.….…………….2021. Sesuai dengan persyaratan, surat lamaran . Ada juga yang dalam bentuk tulis tangan, silahkan anda baca file pengumuman . Contoh surat pernyataan cpns kementerian hukum dan ham tahun. Contoh surat lamaran cpns tahun 2019 . Format surat lamaran untuk jenjang pendidikan slta sederajat. Surat lamaran yang dibuat pelamar ditujukan kepada menteri hukum dan ham republik indonesia di jakarta. Calon peserta cpns kementerian hukum dan hak asasi manusia. Format surat lamaran cpns kemenkumham 2021 baik untuk yang slta maupun . Daftar online cpns pendaftaran cpns kementerian hukum dan ham terbaru format terbaru contoh surat lamaran slta d3 d3 papua s1 s1 papua di . Berikut ini adalah contoh surat lamaran untuk slta sederajat seleksi cpns.

Berikut ini adalah contoh surat lamaran untuk slta sederajat seleksi cpns. Kantor wilayah kementerian hukum dan ham riau. Surat lamaran tersebut ditunjukkan kepada menteri hukum . Saya yang bertanda tangan di bawah ini :. Format surat lamaran cpns kemenkumham .

Calon peserta cpns kementerian hukum dan hak asasi manusia. Format Terbaru Contoh Surat Lamaran CPNS Kementerian Hukum
Format Terbaru Contoh Surat Lamaran CPNS Kementerian Hukum from ift.tt
Format surat lamaran cpns kemenkumham . Calon peserta cpns kementerian hukum dan hak asasi manusia. Format surat lamaran untuk jenjang pendidikan slta sederajat. Kantor wilayah kementerian hukum dan ham riau. Menteri hukum dan hak asasi manusia ri. Ada juga yang dalam bentuk tulis tangan, silahkan anda baca file pengumuman . Format surat lamaran cpns kemenkumham 2021 baik untuk yang slta maupun . Berikut ini adalah contoh surat lamaran untuk slta sederajat seleksi cpns.

Surat lamaran yang dibuat pelamar ditujukan kepada menteri hukum dan ham republik indonesia di jakarta.

Kementrian hukum dan hak asasi manusia (kemenkumham) saat ini membuka. Menteri hukum dan hak asasi manusia ri. Calon peserta cpns kementerian hukum dan hak asasi manusia. Surat lamaran tersebut ditunjukkan kepada menteri hukum . Saya yang bertanda tangan di bawah ini :. Contoh surat lamaran cpns tahun 2019 . Format surat lamaran slta ………………….,.….…………….2021. Format surat lamaran cpns kemenkumham . Ada juga yang dalam bentuk tulis tangan, silahkan anda baca file pengumuman . Format surat lamaran cpns kemenkumham 2021 baik untuk yang slta maupun . Format surat lamaran untuk jenjang pendidikan slta sederajat. Contoh surat pernyataan cpns kementerian hukum dan ham tahun. Berikut ini adalah contoh surat lamaran untuk slta sederajat seleksi cpns.

Daftar online cpns pendaftaran cpns kementerian hukum dan ham terbaru format terbaru contoh surat lamaran slta d3 d3 papua s1 s1 papua di . Format surat lamaran cpns kemenkumham 2021 baik untuk yang slta maupun . Format surat lamaran slta ………………….,.….…………….2021. Ada juga yang dalam bentuk tulis tangan, silahkan anda baca file pengumuman . Format surat lamaran untuk jenjang pendidikan slta sederajat.

Ada juga yang dalam bentuk tulis tangan, silahkan anda baca file pengumuman . Contoh Surat Lamaran Tes Cpns Kemenkumham - Kumpulan
Contoh Surat Lamaran Tes Cpns Kemenkumham - Kumpulan from contoh-surat.co
Surat lamaran tersebut ditunjukkan kepada menteri hukum . Calon peserta cpns kementerian hukum dan hak asasi manusia. Contoh surat lamaran cpns tahun 2019 . Ada juga yang dalam bentuk tulis tangan, silahkan anda baca file pengumuman . Daftar online cpns pendaftaran cpns kementerian hukum dan ham terbaru format terbaru contoh surat lamaran slta d3 d3 papua s1 s1 papua di . Format surat lamaran cpns kemenkumham . Format surat lamaran untuk jenjang pendidikan slta sederajat. Surat lamaran yang dibuat pelamar ditujukan kepada menteri hukum dan ham republik indonesia di jakarta.

Saya yang bertanda tangan di bawah ini :.

Berikut ini adalah contoh surat lamaran untuk slta sederajat seleksi cpns. Kantor wilayah kementerian hukum dan ham riau. Format surat lamaran cpns kemenkumham . Contoh surat pernyataan cpns kementerian hukum dan ham tahun. Format surat lamaran untuk jenjang pendidikan slta sederajat. Sesuai dengan persyaratan, surat lamaran . Calon peserta cpns kementerian hukum dan hak asasi manusia. Surat lamaran yang dibuat pelamar ditujukan kepada menteri hukum dan ham republik indonesia di jakarta. Contoh surat lamaran cpns tahun 2019 . Format surat lamaran slta ………………….,.….…………….2021. Saya yang bertanda tangan di bawah ini :. Surat lamaran tersebut ditunjukkan kepada menteri hukum . Daftar online cpns pendaftaran cpns kementerian hukum dan ham terbaru format terbaru contoh surat lamaran slta d3 d3 papua s1 s1 papua di .

Contoh Surat Lamaran Hukum Dan Ham Untuk Slta Tulis Tangan - Contoh Surat Lamaran Kerja Cpns 2019 Tulis Tangan Untuk Bupati - Daftar online cpns pendaftaran cpns kementerian hukum dan ham terbaru format terbaru contoh surat lamaran slta d3 d3 papua s1 s1 papua di .. Format surat lamaran untuk jenjang pendidikan slta sederajat. Format surat lamaran cpns kemenkumham . Format surat lamaran slta ………………….,.….…………….2021. Contoh surat pernyataan cpns kementerian hukum dan ham tahun. Sesuai dengan persyaratan, surat lamaran .